5 reasons why everyone who wants to age healthier is switching to NMN supplements
Blog post description.
Purovitalis News
9/24/20252 min read
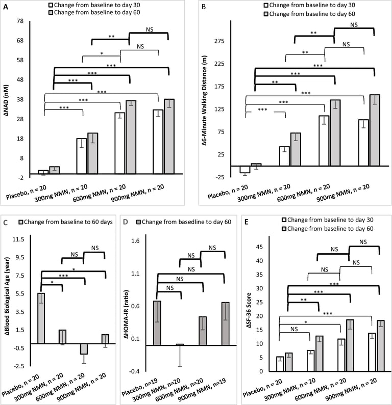
1. NMN is 5x more effective than traditional anti-aging supplements
As we age, our natural production of NAD⁺ — a molecule that literally keeps the life in your cells — decreases. You feel it: fatigue, slower recovery, less mental clarity.
NMN replenishes this fundamental building block. It restarts your energy levels from the inside out.
“This is the only supplement where I truly feel my energy levels changing.”
– Anja (53)


2. Move like you used to — in just 60 days
In a clinical study, healthy 50-year-old men took NMN for 60 days. The results? They walked faster, felt fitter, and rated their quality of life higher.
“I could walk longer, had more energy, and felt sharper in my mind.”
– Prof. Dr. Andrea Maier (researcher)


3. Lower your biological age — truly feel younger used to — in just 60 days
What if your body says you’re 44, while your passport says 51?
Your biological age shows how “young” your body actually behaves.
NMN supports cell health, DNA repair, and mitochondrial function — helping your body perform younger than your chronological age.
“My biological age dropped by 3 years in just a few months.”
– Jinek presenter live on air


4. NMN also tackles stress, energy, and recover your biological age truly feel younger used to in just 60 days
NAD⁺ not only helps with aging, but also supports mental clarity, immunity, sleep quality, and energy levels. That’s why more people are using NMN as a daily foundation for vitality.
“I feel sharper, sleep deeper, and recover faster from exertion. It’s become my foundation.”
– Henny, 71, marathon runner


5. Scientifically proven, affordable, and available without prescription
The NMN supplement studied is backed by science and tested in placebo-controlled studies. And the best part? No injections — it’s taken orally and safe for daily use.
With a price comparable to your monthly gym membership and a money-back guarantee, this may be the smartest investment in your health yet.
Free returns
No prescription needed
Clinically tested for effectiveness


Learn More
Expert advice for a longer, healthier life.
© 2025. All rights reserved.
Use code "Welcome10"
